YPG Series Motor

YPG Series Motor

Contact Us
  • Product Description
  • Technical Parameters
  • Anatomical Drawings
  • Installation And Size

Product Description

YPG series VVVF roller three-phase asynchronous motor, with overload capacity, high mechanical strength, wide range of speed, versatility and so on., which is suitable for continuous transmission device operation, also suitable for harsh conditions frequent starting braking and reverse speed occasions. Can be widely used in metallurgy chemical industry, construction, water conservancy, electric power, port, light industry, paper making and other industries.

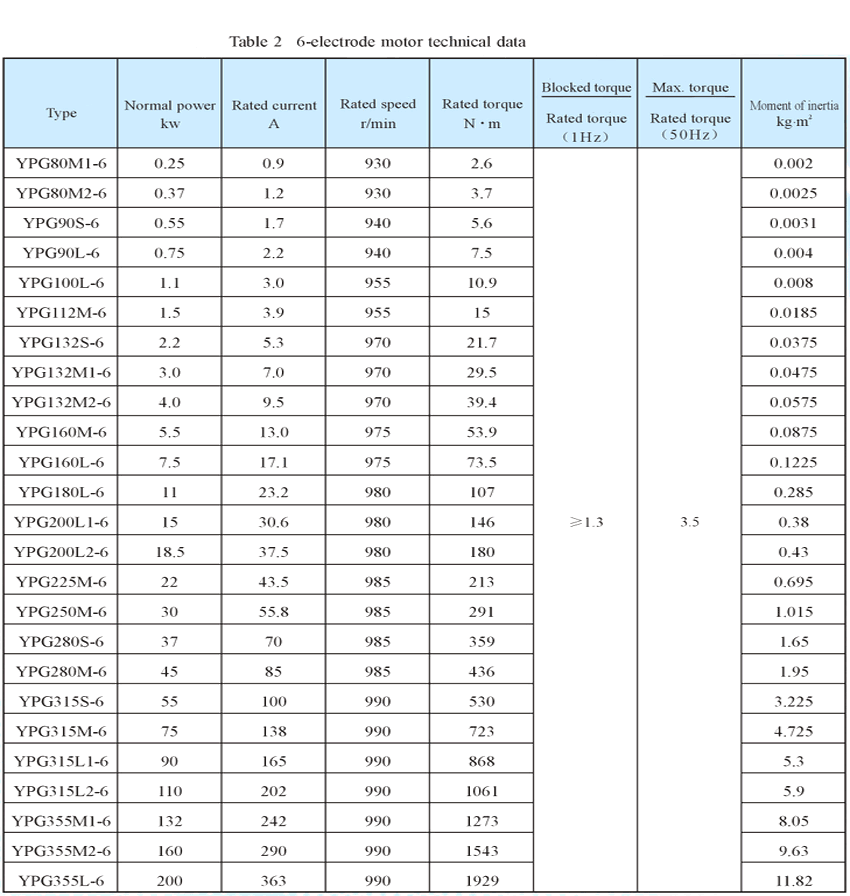
Technical Parameters

      1-1 2-2 3-3

Anatomical Drawings

ypg2

Installation And Size

5 67-29

CONTACT WITH US
  • captcha